Formal Languages and Automata
形式语言与自动机
第一章 课程简介与基础知识
课程简介
核心问题:
计算机的基本能力和限制是什么?
- 究竟哪些问题,可以通过计算解决?——可计算性理论
- 解决可计算的问题,究竟需要多少资源?——计算复杂性理论
- 为了研究计算,要使用哪些计算模型?——形式语言与自动机理论
什么是自动机理论?
自动机理论:研究抽象机器机器所能解决问题的理论
- 图灵机
- 有限状态机
- 文法,下推自动机
什么是形式语言?
形式语言:经数学定义的语言
自动机与形式语言的关系
自动机以形式语言为处理对象,形式语言以自动机为形式定义
基础知识
字母表
符号(字符)的非空有穷集
字符串
由字母表中的符号组成的有穷序列
空串
记为 ,有 0 个字符的串
字母表 可以是任意的,但都有
符号使用的一般约定
- 字母表:大写希腊字母
- 字符:小写拉丁字母 a,b,c 等
- 字符串:小写拉丁字母结尾的几个字母,w,x,y,z 等
- 集合:大写拉丁字母
字符串的长度
字符串中符号所占位置的个数,记为
若字母表为 ,则字符串可递归定义为:
其中 是字母表中的字母, 和 是字母表中的字符串
字符串 和 的连接
将首尾相接得到新字符串的运算,记为 ,同样,可递归定义为:
其中, 属于字母表,是单个字符, 都是字符串
连接运算不满足交换律,但满足结合律
字符串 的 (大于等于0)次幂
递归定义为:
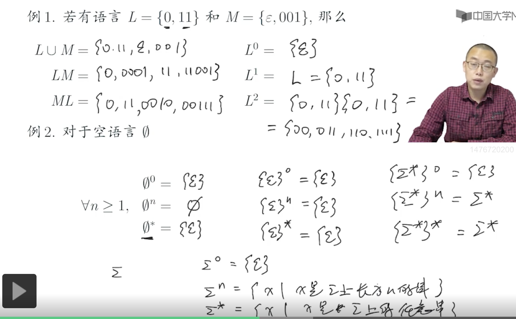
集合的连接
集合 A 和 集合 B 的连接,记为 AB,定义为
集合连接不满足交换律,因为字符串连接不满足交换律
集合的 次幂
递归定义为:
因此,若 为字母表,则 为 上长度为 的字符串集合,即:
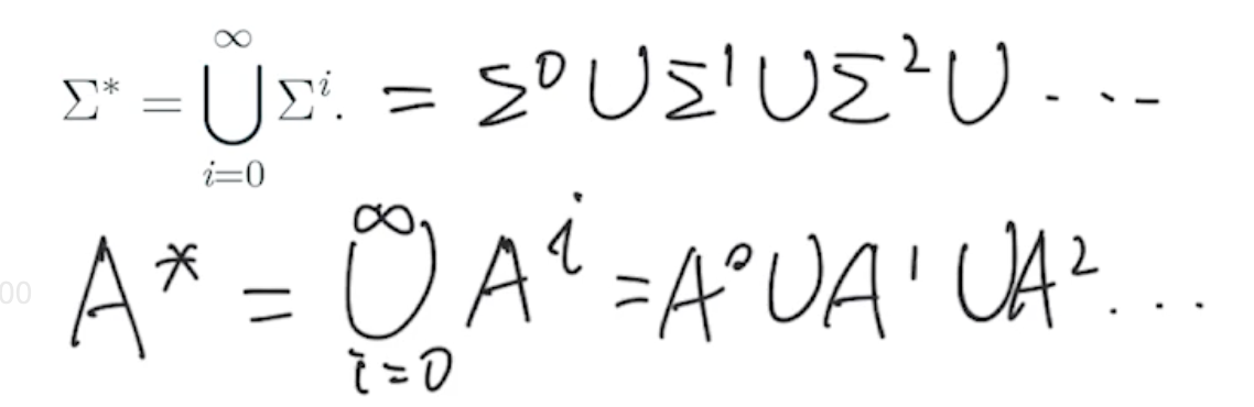
克林闭包
克林闭包是一个字母表或字符串集合其本身的从 0 到 无穷 次幂的并集
正闭包
正闭包是一个字母表或字符串集合其本身的从 1 到 无穷 次幂的并集
显然,对于同一个字母表或字符串集合来说,其克林闭包等于其正闭包并上
第二章 有穷自动机
确定的有穷自动机
DFA 的形式定义
有穷状态系统
-
有限状态机:Moore Machine, Mealy Machine
其现实应用:
-
有穷自动机的现实应用
- 数字电路设计
- 电脑游戏的 AI 设计
- 各种通讯协议:TCP、HTTP、Bluetooth、WIFI
- 文本搜索,词法分析
确定的有穷自动机的构成
-
一条输入带
-
一个读头
-
一个有穷控制器
初始状态非常重要,关系着有穷自动机能否按照预期运行
用形式语言来定义有穷自动机
需要定义如下五个部分:
- 有穷控制器内的几种状态
- 输入带上的字符
- 状态转换规则
- 有穷自动机的初始状态
- 有穷自动机的接受状态
定义:
确定的有穷自动机(DFA,Deterministic Finite Automaton)A 为五元组
- :有穷状态集
- :有穷输入符号集或字母表
- :状态转移函数,,即 ,当前状态 ,输出符号 ,状态转换为
- :初始状态
- :终结状态集或接受状态集
例题:
状态转移图和 DFA 设计举例
状态转换图
- 每个状态 对应一个节点,用圆圈表示
- 状态转移 为一条从 到 且标记为字符 的有向边
- 开始状态 用一个标有 start 的箭头表示
- 接受状态的节点,用双圆圈表示
上述例题的状态转移图如下:
状态转移表
- 每个状态 对应一行,每个字符 对应一列
- 若有 ,用第 行第 列中填入的 表示
- 开始状态 前,标记箭头 表示
- 接受状态 前,标记星号 表示
上述列题的状态转移表如下:
几个例题
例题3
要旨:
- 分析 ,即有穷状态集中包含哪些状态
- 分析 ,即看有穷输入符号集中会有哪些符号
- 确定 ,分析每个状态在每个符号输入下是如何转换的
- 确定起始状态 和接受状态
- 画出状态转移图或状态转移表,即设计完毕 DFA
- 设计完毕后,用几个例子来测试 DFA 的功能是否达到预期
例题4
要旨:
与数字逻辑设计类似,首先要判断出一共需要几个状态,其次求每个状态在每个输入下会转换为什么状态,最后画出状态转移图即可
思考题
扩展转移函数和语言
扩展转移函数
由于前面定义的 只能接收输入字符而不能接收输入字符串,于是我们扩展 到字符串,定义扩展转移函数: 为
其中 ,
以上是递归的定义,用迭代的思想来说,扩展转移函数就是每次从字符串的开头取一个字符,然后进行状态转移,重复此步骤,直到字符串被取空为止。
技能测试:
- 不必须,DFA 在任意状态的任意输入下都有结果输出,所以可以从任意状态开始处理字符串。
- 一定,因为 DFA 的定义保证了它在任意状态接受任意输入都会有输出,所以一定会。
例题:
要旨:
- 对 y 进行归纳证明
- 的定义的正用和反用
- 归纳假设的使用
DFA 的语言与正则语言
DFA 的语言
定义:若 是一个 DFA,则 D 接受的语言为
即 DFA 的语言是所有经过该 DFA 后得到的输出为该 DFA 的接受状态的字符串的集合。
正则语言
如果语言 是某个 DFA D 的语言,即 ,则称 是正则语言
- 都是正则语言
- 若 是字母表,则 都是 上的正则语言
例题:
要旨:
- 设计状态是精髓,考虑到 DFA 无法判断后面到底还有没有字符输入,所以选择的状态要能根据输入动态变化,并通过状态来判定输入是否满足条件
- 此例题的解答选择的状态是:根据之前的输入所积累的余数为 0/1/2,这样,在每读入一个输入时,就更新当前的余数,即更新当前的状态,余数为 0 则为接受状态
- 以空串为起始状态,对于以 0 开始的串要特殊处理(以 0 开始的串被认为是非法字符串,不管 0 后面的字符是怎样的,都无法被接受。但如果单只有 0 一个字符,由于 0 可以整除 3,所以接受之)
非确定的有穷自动机
NFA 的形式定义
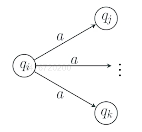
非确定的有穷自动机指==状态的非确定转移==
- 同一个状态在相同的输入下,可以有多个转移状态
- 自动机可以处在多个当前状态
- 使自动机的设计更容易
由 DFA 转变到 NFA
思考题:有穷自动机有了非确定性,能否增加它识别语言的能力?
不能。后面会有论述:DFA 和 NFA 是等价的。
非确定的有穷自动机的形式定义
非确定的有穷自动机(NFA, Nondeterministic Finite Automaton) 为五元组
其中:
- :有穷状态集
- :有穷输入符号集或字母表
- : 状态转移函数(因变量不再是特定状态,而是状态的集合,体现非确定性)
- :初始状态
- :终结状态集或接受状态集
进一步理解
续例7,构造出的 NFA 识别字符串 00101 的过程
理解:
- 当有多个状态可以跳转时,NFA 就分裂出多个状态来,每个状态都继续往下进行,如果在最后的多个状态中存在接受状态,则认为该字符串是可被接受的。
其状态转移表:
扩展转移函数和语言
扩展转移函数定义
扩展 到字符串,定义扩展转移函数 为
其中
阐释:
- 如果字符串为空串,则状态转移后的状态为原状态(集)
- 如果字符串不是空串,则状态转移后的状态为 经过 转移后的状态集与 经过 转移后的状态集的并集
NFA 的语言定义
回顾:若 是一个 DFA,则 D 接受的语言为
若 是一个 NFA,则 接受的语言为
即字符串 经过状态转移后的状态集中存在接受状态,则该字符串为 NFA 接受的语言
例题9
DFA 与 NFA 的等价性
定理一
如果语言 满足被 NFA 接受,当且仅当 被 DFA 接受。
证明方法:==子集构造法==
构造如下:
证明:
例子:用子集构造法来构造与 NFA 等价的 DFA
带有空转移的非确定的有穷自动机
-NFA 的形式定义
状态的 转移
-
允许状态因空串 而转移,即不消耗输入字符就发生状态的改变
-
使自动机的设计更容易
-
例子:

最下面的 NFA 是带空转移的,使得自动机设计更加简单。
形式定义
带空转移非确定有穷自动机() A 为五元组
其中
- :有穷状态集
- :有穷输入符号集或字母表
- : 状态转移函数(因变量不再是特定状态,而是状态的集合,体现非确定性)
- :初始状态
- :终结状态集或接受状态集
-NFA, NFA, DFA 之间的主要区别
- *自动机在某状态,读入某个字符时,可能有多个转移:*NFA, -NFA
- *自动机在某状态,读入某个字符时,可能没有转移:*NFA, -NFA, DFA
- 自动机在某状态,可能不读入字符,就进行转移:-NFA
注意:此后,不再明确区分 -NFA和 NFA,而认为它们都是 NFA
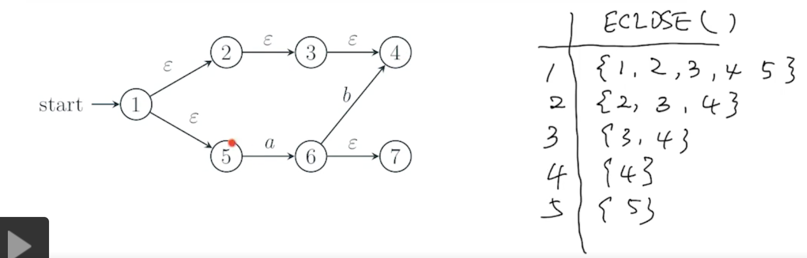
闭包
闭包的例子:
状态的 闭包定义
状态 的 -闭包(),记为 ,表示从 经过 序列可达的全部状态的集合,递归定义为:
1. & q \in \bold ECLOSE(q); \\ 2. &\forall p \in \bold ECLOSE(q), 若 r \in \delta(p, \epsilon), 则 r \in \bold ECLOSE(q).
例子:
状态集合的 -闭包定义
状态集 的 -闭包为
即状态集的闭包为状态集中每个状态的闭包的并集
扩展转移函数、语言、与 DFA 的等价性
阔转转移函数定义
扩展 到字符串,定义扩展转移函数 为
其中 .
即若字符串为空串,则当前状态转移到当前状态的闭包;若字符串不为空串,则当前状态转移到字符串对应状态的闭包。
-NFA 的语言
与 NFA 一致,其语言的定义为:
若 是一个 -NFA,则 接受的语言为
与 DFA 的等价性的证明
==子集构造法==
==定理2==
第三章:正则表达式
正则表达式
正则表达式形式定义
几个特殊集合的运算
正则表达式的递归定义:
如果 为字母表,则 上的正则表达式递归定义为:
-
是一个正则表达式,表示空语言
-
是一个正则表达式,表示语言
-
, 是一个正则表达式,表示语言
-
如果正则表达式 和 分别表示语言 和 ,那么
都是正则表达式,分别表示语言
正则表达式中三种运算以及括号的优先级(从上到下)
- 括号
-
-
正则表达式设计举例
自动机和正则表达式
DFA 到正则表达式之递归式法
定理 3:若 是某 的语言,那么存在正则表达式 满足
状态消除法、正则表达式到 -NFA
状态消除法:
- 从 DFA 中逐个删除状态
- 用标记了正则表达式的新路径替换被删掉的路径
- 保持 “自动机” 等价
定理 4:正则表达式定义的语言,都可以被有穷自动机识别
由正则表达式构造 -NFA
任何正则表达式 e,都存在与其等价的 -NFA ,即 ,并且 满足:
- 仅有一个接受状态
- 没有进入开始状态的边
- 没有离开接受状态的边
正则表达式的代数定律
等价
含有变量的两个正则表达式,如果以任意语言替换其变量,二者所表示的语言仍然相同,则称这两个正则表达式等价。
代数定律
在等价的意义下,正则表达式满足一些代数定律
- 并运算(加法运算)
- 结合律
- 交换律
- 幂等率
- 单位元
- 连接运算
- 结合律
- 单位元
- 零元
- ==不满足交换律==
- 加法运算和连接运算满足左右分配律
- 闭包运算
-
检验两个表达式相等
要判断表达式 和 是否等价,其中变量为 :
- 将变量替换为具体的字母表中的字母,得到正则表达式 和 ,例如,替换 为
- 判断 是否等于 ,如果相等,则 ,否则 .
注意:这种方法==仅限于==判断正则表达式,否则可能会发生错误。
因为这种方法采用用特殊证明一般的手段,因为正则表达式具有一些特质使得这种方法可行,其他的不一定可行。